Category Archives: Uncategorized

Seminar on “Hyper – Catalan series solution to polynomial equations” Tuesday May 13 UNSW

https://www.unsw.edu.au/science/our-schools/maths/engage-with-us/seminars/2025/A-hyper-Catalan-series-solution-to-polynomial-equations

Hi there: I will be giving a talk in the Pure Maths seminar at UNSW on Tuesday May 13 at 12 pm (noon) in Room 4082, Anita B. Lawrence Building, UNSW Kensington. If you are interested, please come along!

ABSTRACT: This is an exposition of work which recently appeared in the American Mathematical Monthly (May 2025), joint work with computer scientist Dean Rubine.ย 

We show how to solve a general polynomial equation without radicals and Galois theory, relying rather on an earlier tradition involving series, developed by Newton, Leibniz, Euler and Lagrange. 

To do this we extend the Catalan story from a sequence to a multidimensional array, initiate an algebra of subdivided planar roofed polygons (subdigons), and then connect with traditional algebra through an appropriate accounting function from multisets of subdigons to polynomials.

Working out the details connects us with a rich vein of combinatorics, along with Lagrange’s reversion/inversion of series, and also somewhat surprisingly Euler’s polytope formula. 

The resulting multivariate generating function S (the solution!) has a remarkable factorization which reveals a previously unknown layer underneath Catalan numerics, which we call the “Geode”. Many new questions and possible developments for research arise. 

But we can also use this S directly to solve real life polynomial equations, as demonstrated on Wallis’ famous cubic example. And we show finally how to really solve a quintic equation!

This talk will be (hopefully) understandable to first year students.

Paper with Dean Rubine on Solving Polynomial Equations is now online

Our paper “A Hyper-Catalan Series Solution to Polynomial Equations, and the Geode” is now available at Taylor and Francis Online. It will appear next month in print form in the American Mathematical Monthly. Here is the link to the paper:

https://www.tandfonline.com/doi/full/10.1080/00029890.2025.2460966

From the Abstract: The Catalan numbers ๐ถ ๐‘š count the number of subdivisions of a polygon into m triangles, and it is well known that their generating series is a solution to a particular quadratic equation. Analogously, the hyper-Catalan numbers ๐ถ
๐ฆ count the number of subdivisions of a polygon into a given number of triangles, quadrilaterals, pentagons, etc. (its type ๐ฆ), and we show that their generating series solves a polynomial equation of a particular geometric form. This solution is straightforwardly extended to solve the general univariate polynomial equation. A layering of this series by numbers of faces yields a remarkable factorization that reveals the Geode, a mysterious array that appears to underlie Catalan numerics.

This paper is the outgrowth of a series of videos I made at my Wild Egg Maths YouTube channel starting in 2021. The basic idea had been mulling around in my mind for some decades, and every few years I would spend a week or two thinking about it some more. I just never liked that “solution by radicals” approach where even the cubic and quartic cases are so complicated that hardly anyone can remember them, and almost no-one ever uses them. Furthermore these “solutions” involved “cube roots” as well as “square roots”, invoking irrationalities that I just no longer believe in. There had to be a better way!

Happily Dean volunteered to help me put together a paper on this topic. His input has been invaluable, and the paper is a reflection of his commitment and hard work.

It turns out that the better way to solve general polynomial equations already has its seeds in the quadratic case. There the usual quadratic formula involving a square root of the discriminant b^2-4ac can be expanded by using Newton’s power series extension of the binomial theorem, yielding a series solution involving the Catalan numbers C_n, that famous sequence 1,1,2,5,14,42,132,429,1430,4862,16796, … (A000108 in the Online Encyclopedia of Integer Sequences (OEIS)).

But why should these numbers, originating in Euler’s counting of the number ways of triangulating a fixed convex polygon in the plane by non-intersecting diagonals, and now connected with literally dozens (actually probably hundreds) of other counting problems in mathematics, have anything intrinsically to do with quadratic equations?

An intriguing answer is given in Exercise 7.22 of the classic text Concrete Mathematics by Ronald Graham, Donald Knuth, and Oren Patashnik — and which they further attribute to George Pรณlyaโ€™s On Picture Writing. The idea is to generate an algebra of triangular subdivisions of convex planar polygons and consider an associated polyseries (formal power series) that keeps track of how many triangles are involved at each step.

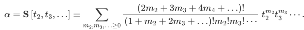
So the short story is that we use that idea and extend it to the more general situation where a planar convex polygon is divided, by non-intersecting diagonals, into a certain number of triangles, quadrilaterals, pentagons etc. We keep track of how many of each by a vector, or list m=[m_2,m_3,m_4,…], where m_2 counts the number of triangles, m_3 counts the number of quadrilaterals, and so on. Then we introduce the hyper-Catalan number C_m to be the number of subdivided roofed polygons that have exactly that many of each in the subdivision. Here “roofed” means that there is a distinguished side of the convex polygon, that we declare to be the top. This gives a new array of numbers depending not just on a single subscript, but potentially on a finite number of an ongoing list of possible subscripts 2,3,4,…. These we call the hyper-Catalan numbers.

Then we construct an algebra from a sequence of panelling operators, generalizing the one of Graham, Knuth and Patashnik on a multiset of subdigons, which is what we call our arbitrarily subdivided planar roofed polygons. Ultimately we use the simple fact that an arbitrary subdigon is characterized by the subpolygon directly under its roof, in addition to all of its directly adjacent polygons, which are themselves subdigons.

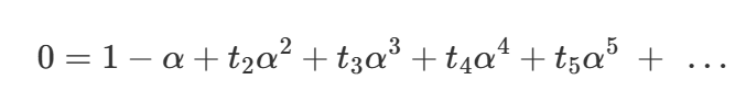
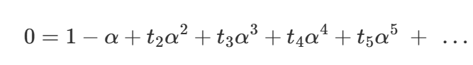
By analysing this geometric relationship, we get an algebraic equation satisfied by the big multiset of subdigons, and then the associated polyseries which is a polynomial in variables t_2,t_3,t_4,… turns out to solve a general polynomial in alpha whose coefficients are 1,-1 for the 0-th and 1-st degree terms in alpha, and whose subsequent coefficients are t_2,t_3,t_4,….

Here is one statement of the essential formula that results: The polynomial equation

has a solution

where the coefficient with the factorials is an explicit expression for a hyper-Catalan number, obtained over many decades, going back to work of Erdelyi and Etherington in the 1940’s, by several combinatorialists.

We show that it’s not too hard to go from this formula to the solution of the general equation by a simple change of variable, and then apply this to Wallis’ famous cubic equation x^3-2x-5=0. Our solution uses just one simple truncated line of the general series, namely

Using this we can, by starting with the guess x=2, generate with two passes (we employ a kind of boot strapping) the approximate solution x=2.0945514815423265098 which agrees with our computer to 16 decimal places.

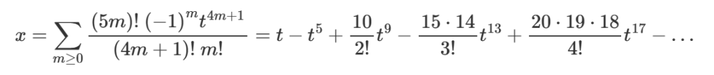
We also show how to now solve a quintic (degree 5) equation, which is deemed impossible by the “solution by radicals” approach (the famous result of Abel, Ruffini and also Galois), and illustrate the idea on a special case recovering a series solution of Eisenstein for the (Brings radical) equation -t+x+x^5=0, namely we obtain

It turns out that our solution has an intimate relation to Lagrange’ reversion of series formula. Lagrange was one of the giant pioneers in the classical search for solutions of polynomial equations, and it is ironic that work that he did in the analytic direction ends up providing a beautiful channel towards the series solution that we have found. In fact this series solution was also obtained by by Joseph B. Mott in remarkable self-published work of 1855. This seems to have been completely forgotten about until now. I think we need to learn more about Mott and his story.

One of the further quite lovely consequences of our solution appears when we analyse the multidimensional array S[t_2,t_3,t_4,…] and its connection with Euler’s polytope formula V-E+F=1 for a subdivided polygon into V vertices, E edges and F faces. We end up getting a factorization when we organize the series S by the number of faces F=m_2+m_3+m_4+….

By introducing the polyseries S_1=t_2+t_3+t_4+… we prove in Theorem 12 (The Subdigon Factorization Theorem) that there is a unique polyseries G for which S-1=S_1 G. We call this G the Geode series. In some crucial way, the Theorem is asserting that this quite mysterious array is underlying hyper-Catalan number numerics.

Here is a slice just involving t_2 and t_3 of this multidimensional Geode array:

Catalan and Fuss numbers appear down the first column and row, but the rest is an enigma — we can’t find any further connections with the OEIS. Nevertheless, we offer up some intriguing conjectures on the Geode array that might help with further investigations. But it is clear that there is a lot more to study.

At least now undergraduates have a clear cut alternative to the usual Galois theory courses that treat this classic problem in algebra. Both Euler and Lagrange would, we hope, be approving.

Insights into Mathematics and Wild Egg Maths are both now back in business!! :)

I am happy to report that both video sites have had the contents restored. Many thanks to the folks at YouTube for their efforts in doing this, and especially a big thanks to John Fries for his heroic help.

I am still working to clean up the Playlists, as they needed recreation.

Also please note that in 2025 I will be publishing a new website that will be hosting Rational Mathematics, with not just access to all my videos, but also containing essays, blogs, posts and crucially a Forum (actually several) where people can engage with the important task of reorienting pure mathematics in a more sensible, rational direction — with no more “infinities”, “irrational numbers” or other dreamings. This is a long overdue development, but we now have enough runs on the board to move forward with it.

I am hoping that you will all be joining me. More announcements will be made here.

As part of that, I will be closing down the Wild Egg site (wildegg.com). All the functionality of that site, including the store, will be moved to the new site.

N J Wildberger YouTube videos currently unavailable

Hello everyone. On 21 October 2024 my YouTube channels Insights into Mathematics and WIld Egg maths were hacked and the contents deleted. This is of course annoying, but rest assured that the gurus at YouTube will hopefully get around to reinstating things once I am able to explain things to them. In the meantime, I thank everyone for their patience. You can always read some of the blogs on this site ! ๐Ÿ™‚

My talk with Daniel Rubin on Real Numbers and the Infinite in Analysis

A few days ago I had an online conversation with Dr Daniel Rubin who is a mathematician living in the US and who works in analysis, geometry and approximation theory. The topic was one close to my heart: Daniel wanted to hear of my objections to the status quo concerning the foundations of modern analysis: namely my rejection of “real number arithmetic” and why I don’t accept “completed infinite processes”. And naturally he wanted to do his best to rebut them.

Here is a link to our chat:

It is certainly encouraging to see that some analysts are willing to engage with the uncomfortable idea that their discipline might actually be in serious logical difficulties. Most of us are reluctant to accept that something we have been working on for years and years might actually be wrong. I applaud Daniel for the courage to engage with these important ideas, and to consider how they fit, or don’t fit, into his current view on analysis.

When we learn pure mathematics, there are many things that we at first don’t understand, perhaps because they are obscure, or perhaps because we are not smart enough — it is easy not to be sure which. Our usual reaction to that is: let me try to accept the things which are cloudy, and hopefully with further learning things will become clearer. This is a reasonable approach to tackling such a difficult subject. However it does require us to put aside our natural skepticism, and accept what the more established figures are telling us at critical points in the theoretical development, even if we imagine this is only temporary.

A good example is: “analysis is built from axiomatic set theory.” In other words the foundations of “infinite sets” and so the basic logical structure of the “arithmetic of real numbers” is a consequence of work of logicians, and can be taken for granted without much further inquiry. Or to put it less politely: it is not the job of an analyst to work out clearly the foundations of the subject; this is something that can be outsourced.

In this fashion dubious logical sleights of hand can creep into an area, transmitted from generation to generation and strengthened with each repeat. Young academics in pure mathematics are under a lot of pressure to publish to obtain a foothold in the academic ladder. This means they do not often have time to mull over those knotty foundational questions that might have been bugging them secretly at the backs of their minds. They probably don’t spend a lot of time on the history of these problems, many of which go back centuries, and in former times engaged the interest of many prominent mathematicians.

Later in their career, if our young PhD has been lucky enough to score an academic job, they might be in a position to go back over these core problems and think them through more carefully. But even then there is often not a lot of “academic reward” in doing so: their fellows are not particularly interested in endeavors that are critical of the orthodoxy — pure mathematics is quite different in this regard than science or even applied mathematics!

And journals are uniformly not keen on publishing papers on foundational issues, especially ones which challenge accepted beliefs. As pure mathematics rests on a premise of logical correctness, any questioning of that is seen as subversive to the entire discipline.

But maybe some serious consideration and debate of the underlying logical structure is just what the discipline really needs.

I certainly enjoyed our conversation and I think there are valuable points in it. I hope you enjoy it, and look forward to another public YouTube discussion with Daniel.

Welcome to Algebraic Calculus One 2021

Hello Everyone — the Algebraic Calculus One course is now live at

https://www.openlearning.com/courses/algebraic-calculus-one/homepage/?cl=1

and you can find a welcome video at https://www.youtube.com/watch?v=1SFI9QbRpzg

Here is the Welcome to the Course taken from it, and gives some information about it.

Introduction and Welcome

Hi everyone! Welcome to our course. I am Prof Norman Wildberger and I have been teaching at UNSW in Sydney for 30 years, from which I have recently retired, and before that I taught at the University of Toronto for 3 years and Stanford University for 2 years. I am a keen expositor of mathematics on YouTube with my channel Insights into Mathematics and the sister channel Wild Egg Maths, where the videos for this course are posted publically.

I am also the developer of Rational Trigonometry, Chromogeometry, and Universal Hyperbolic Geometry, and am currently putting together exciting series of videos on Solving Polynomial Equations and Exceptional Structures in Mathematics and Physics from Dynamics on Graphs, which you can access by becoming a member on the Wild Egg Maths YouTube channel.

Over my career I have also worked in Harmonic Analysis, Lie group representation theory, Diophantine equations, finite commutative hypergroups, Old Babylonian mathematics (you may have heard about my work with Daniel Mansfield on Plimpton 322 in the international press in 2017), combinatorics, and some mathematical physics, around quantization and star products.

I am hoping this course will open up new pathways for mathematics education and research, and that it will attract a new generation of students to the beauty and power of calculus and geometry! 

What is Calculus?

Calculus is a branch of geometry, and also a branch of physics. These two origins of the subject colour almost every part of it.

As part of geometry, calculus is concerned with the areas and tangents of curves. Given a curve in the plane, how do we define and calculate the area determined by that curve, and perhaps other curves or lines? Given a curve in the plane, how do we define and calculate the tangents to that curve at points on the curve, or perhaps near the curve? And what do we mean by a curve in the first place?

As part of physics, calculus is concerned with the motion of bodies, in particular the relationship between the position, velocity and acceleration of bodies. It is motivated by Newton’s laws, which allow us to determine the acceleration on objects from the forces that act on them. The job of calculus is then to determine from that information both velocities and positions.

Both the geometric and physical sides of calculus can be accessed through an applied, real-life point of view emphasizing approximate calculations, or through an abstract, pure point of view, focusing more on exact calculations. We are mostly interested in the theoretical development and logical structure of the subject in this course, but we will be strongly motivated by applied questions, history, and making calculations. We want our theory to support a practical, powerful calculus.

Motivating problems

Here are some fundamental problems that we would like to solve, and that the calculus helps us with.

  1. How do you explain the motion of the planets in the night sky?
  2. How do you calculate the “area” of a segment of a curve, like a circle, parabola or hyperbola? Does this question even have a precise meaning??
  3. How can you determine the trajectory of a particle if you know its starting point and subsequent velocities?
  4. What exactly is a “curve” and how can you define and determine a “tangent line” to a given one?
  5. How can you find the centre of mass of a planar lamina?
  6. What exactly is a “function”, and how can you find maxima and minima of a given one?

Early pioneers of Calculus

Calculus is usually attributed to Leibniz and Newton. These pioneers played a big role in the story. But many important aspects go back to the ancient Greeks, notably Eudoxus and Archimedes, and evidence is emerging that the Babylonians understood some aspects of it.

In modern times, the development of calculus is hard to separate from the emergence of analytic geometry in the 17th century, largely due to Fermat and Descartes. The great Bernoulli family from Switzerland made huge contributions, as did the towering figures of 18th and early 19th century mathematics: Euler, Lagrange, Laplace and Gauss, but in fact there were many others too!

A concrete computational approach

We can, and will, learn much from all of them in crafting this algebraic approach to a traditionally analytic subject. We will add modern geometric developments, notably the power of linear algebra and projective geometry. And never far from sight will be our most important modern allies: calculators and computers! Our concrete computational approach avoids the many contentious aspects of calculus that have dogged it historically.

That means we avoid any mention of completed infinite processes. We are never going to say: “and now let’s do the following infinite number of operations”. We are going to stick with algebraic operations that can be followed step by step by a computer. Limits accordingly play a very limited role in the Algebraic Calculus. We work with rational numbers. Integration comes before differentiation. Discrete situations are generally studied as motivation and prior training for continuous versions.

These are major departures from modern thinking, which considers “calculus” and “infinite processes” to be almost synonymous terms. It means we are not going to consider irrational numbers as exact numbers on the same footing as rational numbers. For us there is a world of difference between 21/7 and “\(\pi\)”. In fact we will not assume that you already know what “\(\pi\)” or “\(\sqrt2\)” or “\(e\)” already are—in fact we try to avoid them altogether. We will not work with “infinite decimals” until we find a finite, concrete, explicit way of introducing and working with “them”.

We will be very careful even about using familiar words like area, function, curve, sequence and number. Our view is that these terms need to be defined rather precisely before they can be accurately used. Until we come up with precise definitions, which are always signified by bold font, you can safely assume that we are adopting a casual, everyday, informal usage of terminology. And thinking about how to make things more precise!

Organization and thanks

The Course has 10 Chapters, which are accessible via the left navigation panel, starting with The Affine Plane. Each Chapter consists of four Modules, and each Module is always divided into four sections called Videos and Notes, Worked Problems, Homework Exercises and Links, Definitions, Notation.

You should expect to spend most of your time going through the Worked Problems and the Homework Questions carefully. The latter are graded for difficulty E (easy), M (medium), H (hard) with the occasional C (challenge or research problem). The average participant should probably expect to spend a minimum of 20 hours on each Chapter, but some of you will need to spend considerably more. That is OK — the more time you put in, the more you will get out of the course.

Comments, questions, discussion and submissions are encouraged. This is your course, so please contribute to making it exciting for everyone!

A big thanks to Dr Anna Tomskova who has worked very hard in helping me put together many of the Problems and Questions,  contributed to the nice diagrams, and worked through many of the calculations. 

This calculus course will be very different from any other one that you are likely to meet. I hope you enjoy it, and that you make it your own. And I look forward to a lot of interaction and questions and exciting developments. There’s much to learn!!

All the best,

N J Wildberger

Sydney July 2021

New Members Section on Wild Egg Maths and an exciting new direction for mathematics research/exploration

I am recently retired from 30 years at the University of New South Wales (UNSW) Sydney. But I don’t plan on giving up on mathematics explanation and discovery any time soon — it is just too much fun, and exciting.

But to cement this new direction, I have decided to embark on an additional, quite different directions of explanation — to chart a course in mathematics exploration for the general viewer, offering you a road map to get into a wide range of interesting topics in pure mathematics that you can investigate also on your own — after some orientation on my part.

The first topic is particularly exciting — it is a series on Solving Polynomial Equations. You will all know that the standard extension of the quadratic formula to cubic equations involves complicated expressions with cube and square roots, that the quartic equation is even more complicated, and that this method breaks down, at least partially in the quintic and higher cases. Galois theory was designed partly to try to understand the obstructions to writing down formulas for zeros of higher degree polynomials in terms of radicals.

But since I don’t believe in irrational quantities except in an applied, approximate sense, these “solutions by radicals” are intrinsically suspect for me. Now I am going to show you an exciting alternative, which actually meshes closer to what physicists and engineers do to solve equations — using power series and rational extensions of them in the coefficients of the given equations.

With this rather dramatic shift in point of view, I claim that an entirely new landscape emerges, which remarkably connects with a rich hierarchy of combinatorial objects related to Catalan numbers and their generalizations. We will meet binary and ternary trees, polygonal subdivisions, Dyck paths, standard tableaux, and make lots of contact with many interesting entries in the Online Encyclopedia of Integer Sequences.

You might be surprised. Could it be that we will be able to solve the general polynomial equation with this major new point of view!?

To access this exciting series, please JOIN our Members section on my YouTube channel Wild Egg Maths. See for example this informational video:

For a minimal amount (around $5 / month) you will have a rich stream of interesting videos to watch. We are going to be delving into lots of other topics too — from graph theory to projective geometry to a new world of convexity to triangle geometry in hyperbolic geometry. There will also be quite a few advising videos on how to do research as an amateur or as a graduate student.

The videos will be informal, hands- on and will encourage you to participate. I look forward to having you join us!

Channel Trailer (2021) for Insights into Mathematics (YouTube)

Hi everyone, I’m Norman Wildberger, a soon-to-be retired professor of mathematics at UNSW in Sydney Australia, and I want to tell you about this channel which will introduce you to a wide variety of mathematical topics with a novel slant. The content is aimed at a very broad audience from everyday people with an interest in maths to graduate students working on a PhD in the subject. A link to this introductory video is given below, so you will be able to find quickly any of the playlists that I describe.

I believe that mathematics should be completely clear and straightforward, and that ideally a beginner should be able to navigate through one of the many branches of the subject, one step at a time, supported by lots of explicit examples and concrete computations, with the logical structure visible at all times.

That means however that I no longer buy the standard religion of “real numbers”, which are anchored in an arithmetic reliant on infinite processes. It’s not possible to add up an infinite number of things, so why do we pretend that we can?

I also don’t believe in the “hierarchies of infinite sets” that supposedly form the foundation for modern mathematics, following Cantor. It’s not possible to exhibit a “set” with an infinite number of elements, so why do we pretend that we can?

The pure mathematical community depends on these and other fancies to support a range of “theories” that appear pleasant but are not actually corresponding to reality, and “theorems” which are not logically correct. Measure theory is a good example –this is a subject in which the majority of “results” are without computational substantiation. And the Fundamental theorem of Algebra is a good example of a result which is in direct contradiction to direct experience: how do you factor x^7+x-2 into linear and quadratic factors? Answer: you can’t do this exactly — only approximately.

By removing ourselves from the seductive but false dreamings of modern pure mathematics, we open our eyes to a more computational, logical and attractive mathematics –where everything is above board, where computations actually finish in finite time, where examples can be laid out completely, and where we acknowledge the proper distinction between the exact and the only approximate. This is a pure mathematics which is closer to applied mathematics, and more likely to be able to support it. It also gives us many new insights, more precise definitions, and theorems which are actually …correct.

In this channel, we explore the beginnings of such an exciting new way of learning and doing and teaching mathematics. I present you with topics that are developed and explored in a sequence of YouTube videos, usually from rather elementary beginnings. These topics are organized in Playlists, so you can work your way through them sequentially and strengthen your understanding slowly and steadily.

The History of Maths series is great for high school teachers and anyone with a general interest in mathematics — so much of the subject makes more sense when viewed in a historical context. There is also a playlist on Ancient Mathematics and another on Old Babylonian mathematics. The latter topic is close to my heart — a paper in Historia Mathematica a few years ago with Daniel Mansfield on Plimpton 322 generated international coverage in hundreds of newspapers, including the New York Times.

Wild Trig is an introduction to Rational Trigonometry — a more general and algebraic view of trig that allows much more extensive and quicker calculation for many problems and that opens the door to many new theoretical possibilities, such as chromogeometry! This is based on my book: Divine Proportions: Rational Trigonometry to Universal Geometry.

Famous Math Problems discusses a wide range of —famous math problems, some of them with novel solutions!

Wild Lin Alg A and the follow up Wild Lin Alg B is a first year undergraduate course in Linear Algebra, from largely a geometric point of view.

The most extensive series is the MathFoundations series, which comes in parts MathFoundationsA (videos 1-79), MathFoundationsB (videos 80-149) and MathFoundationsC (videos 150-present). This series examines so many important topics in the subject. The most recent videos for example give a new treatment of the Algebra of Boole, transcending the more usual Boolean Algebra (which is not really what Boole intended) and open the door for simpler logic gate analysis by engineers.

The most elementary series is: Elementary Math (K-6) Explained which is for parents and teachers of primary school students, and will give you tools to understand the important mathematical skills and concepts their children need to learn. In this direction, there is also a course on Math Terminology for Incoming Uni Students meant for people from a non- English speaking background.

Universal Hyperbolic Geometry is a more advanced series on geometry which will give you an exciting new completely algebraic way to understand the hyperbolic geometry of Gauss, Lobachevsky and Bolyai, and which connects more naturally with relativistic physics. There are hundreds of new theorems here, many very beautiful. I will be developing this a lot more in the coming years.

There are also more advanced courses on Differential Geometry and Algebraic Topology. And there’s also a quick and more elementary course which introduces Probability and Statistics.

So this is a large amount of content that is consistently oriented towards avoiding infinite processes and arguments which are not supportable by explicit computation. It is a new kind of mathematics. If you work through some of this, your mathematical understanding will deepen, you will see connections that were invisible, and your appreciation for the logical beauty of the subject will continue to grow. Mathematics is surely the richest intellectual discipline, and I want to empower more people, young and old to experience it directly, to learn lots of fascinating things, to be challenged, and to explore on your own. For those of you aspiring to do some research on your own, there will be plenty of new directions to think about!

My understanding is very different from my fellow mathematicians. So why do I have such a unique perspective? One reason is that I have simply worked in lots of areas of mathematics.

I have done work in number theory, developing the most powerful general algorithm for solving large Diophantine equations, and unravelling the algebraic structure of Gaussian periods. I’ve done work on Pell’s equation –basically discovered the simplest explanation of why solutions are always possible.

I have worked in Lie group harmonic analysis, solving the Horn conjecture (with A. H. Dooley and J. Repka) on eigenvalues of sums of Hermitian matrices. I’ve initiated the moment map of a Lie group representation and found a geometric Fourier transform which explains *-products on coadjoint orbits of compact Lie groups. The wrapping map introduced with A. H. Dooley gives a broad explanation for the effectiveness of A. A. Kirillov’s orbit theory.

In work with D. Arnal I’ve introduced quasi-standard Young tableux, building from my geometric “diamond” construction of the irreps of SU(3), which is of considerable interest to physicists. I have also given combinatorial constructions of G2 and the simply laced Lie algebras, excluding E8.

In 2005 I wrote a book which introduces Rational Trigonometry, and then extended that to a complete rewrite of hyperbolic geometry. This gives a large scale revision of Euclidean and non-Euclidean metrical geometries. With this I have further discovered a remarkable three-fold symmetry in planar geometry called chromogeometry.

I have developed the theory of finite signed hypergroups, which are probabilistic versions of finite groups, and developed a duality theory for them, somewhat like Poyntriagin duality for abelian groups, and also applied ideas of entropy to them.

For the last five years I have been developing the Algebraic Calculus, which is a coherent approach to Calculus which avoids real numbers and infinite processes, and is correspondingly more general and often gives new insights. Videos for this can be found at the sister channel Wild Egg mathematics courses, while the course itself is on openlearning.

If you are interested in learning more about my research at the more advanced level, there is a Playlist on this channel of Math Seminars, and also a smaller one on Research Snapshots, which I hope to enlarge in the future.

I have a Vice Chancellor’s award at UNSW for teaching excellence and have been very involved in the development of online tutorials for mathematics courses there.

In summary, my aim is to put this wealth of research and teaching experience to work in framing a more fruitful path for mathematics education, and opening up a more solid approach to pure mathematics research, connected more strongly to computational reality. Come along and join me on an exciting journey to explore new and better foundations and directions for 21st century pure mathematics! Once we face the music and see things as they really are, not just how we want them to be, there is much to do.

Six: An elementary course in Pure Mathematics meant for a very broad audience

This month I am starting an experiment: developing a mostly rigorous course in Pure Mathematics meant for a very general audience of lay people, with only a high school background of mathematics. This course is called Six — not the musical! — because it is all about the magic and mystery of the number six, as encoded by the objects 1,2,3,4,5 and 6.

The number 6 plays a distinguished role in mathematics, being the third triangular number, the smallest product of two distinct primes, a factorial, a number intimately connected with each of the Platonic solids, the order of the smallest non-commutative group, the size of the unique symmetric group which has an outer automorphism, the number of points on a conic in Pascal’s theorem, and the number of points on a line involved in the multi-ratio of projective geometry. There are actually quite a few additional occurrences of the special number 6 in mathematics!

But a lot of these topics are rather advanced. Our aim is to start with an unfocussed explorative approach with just basic objects and different ways of organizing them. Hopefully as we proceed we will be able to touch base with some of the topics above and others too.

The prerequisites are just some basic arithmetic, and a willingness to listen carefully and work through patterns in a systematic organized way. And hopefully an interest in mathematics to start with, but we will be developing on that, and with luck will be able to shed light on why pure mathematics is such a beautiful and remarkable area of study.

The videos for the course will be in playlist Six on the YouTube channel Wild Egg mathematics courses . At some further point we will look towards creating an online course at Open Learning.

Why not join us? I guarantee you will learn some interesting things.

Archimedes’ parabolic area formula for cubics!

I try to post a new mathematics video once a week, either at my original YouTube site Insights into Mathematics, or my sister channel Wild Egg mathematics courses. This weekend’s post is particularly interesting I think, because it represents also the first “publication” of this material, albeit in an unusual format –YouTube instead of a paper in an established mathematics journal.

Here is the video that presents this new result, at Wild Egg mathematics courses. The video description contains the following:

********************

The very first and arguably most important calculation in Calculus was Archimedes’ determination of the slice area of a parabola in terms of the area of a suitably inscribed triangle, involving the ratio 4/3. Remarkably, Archimedes’ formula extends to the cubic case once we identify the right class of cubic curves. These are the de Casteljau Bezier cubic curves with an additional Archimedean property, characterized either by the nature of the point at infinity on the curve, or alternatively by the geometry of the quadrilateral of control points.

This is a very pleasant situation, and shows the power of the Algebraic Calculus to not only explain current theories more carefully and correctly, but also to discover novel results and open new directions.

I should have mentioned in the video that this Archimedean situation covers also the special case of a cubic function of one variable, that is a curve with equation y=a+bx+cx^2+dx^3.

*************************

Posting research directly to YouTube, or some other web place, is quite an important development I believe. Here I am foregoing the usual refereeing process and uploading the material to the world, or in practice anyone interested in it who can find it. Should academics be allowed to do this?

On the one hand the work has not been peer reviewed, but these days peer review is often problematic, with most papers in pure mathematics almost certainly not being reviewed carefully and critically. This is not due to laziness or negligence, rather it is a necessary consequence of the increasing specialization and complexity of the subject. Most reviewers do not have the several weeks, or months, that it would typically require to delve into the details of a longish and complicated paper. It is understandable that on average they only skim the results and try to selectively check accessible proofs.

On the other hand, this new process completely sidesteps the usual gatekeepers of knowledge, namely editors and referees. Journals are often oriented to certain points of view or orthodoxies, unstated yet omnipresent. Perhaps they are entering a new phase when they will have to share relevance with the wiki processes of people deciding directly which content creators they value and trust.

In the meantime, I hope you enjoy the idea of a two thousand three hundred year old calculus result being extended to the next level!